FDUROP项目成果展示丨物理学系本科生喻知博、江群峰在Physical Review D上以第一、第二作者发表论文
[ 发布时间 ]:2022-05-24 13:34:40 [ 作者 ]:复旦FDUROP

2021年10月,复旦大学物理学系2018级本科生喻知博和2019级本科生江群峰在国际重要学术期刊Physical Review D上发表广义相对论方面的研究论文,论文题目为Constraining the Konoplya-Rezzolla-Zhidenko deformation parameters. II. Limits from stellar-mass black hole x-ray data。喻知博为第一作者,江群峰为第二作者。这篇论文是他们合作开展的曦源项目的成果,曾获第十七届“挑战杯”全国大学生课外学术科技作品竞赛复旦大学一等奖、上海市三等奖,指导老师为物理学系的Cosimo Bambi教授。

喻知博,毕业于武汉市第三中学,2018年考入复旦大学自然科学试验班,后进入物理学系就读,大二时加入物理学系Cosimo Bambi课题组开展高能天体物理方面的研究工作,参与发表SCI论文3篇。以他为主力队员的本科生团队在第十届中国大学生物理学术竞赛中获得冠军。他还申请了䇹政项目,并于2021年9月在线参加第九届“微类星体”国际会议(意大利卡利亚里),是上百位参会者中唯一的本科生,他以海报展示了䇹政项目的科研成果。喻知博在本科毕业后即将赴宾夕法尼亚州州立大学攻读天文学博士。

江群峰,毕业于江西师范大学附属中学,2019年考入复旦大学自然科学试验班,后进入物理学系就读,大二时加入物理学系Cosimo Bambi课题组开展高能天体物理方面的研究工作,参与发表SCI论文2篇、会议论文1篇,曾赴中国科学院国家天文台交流。



01 研究背景
爱因斯坦在1915年提出了广义相对论。经过100多年的发展,广义相对论在没有任何修正的情况下,仍然是我们描述引力场和时空结构的标准框架。
检验广义相对论的正确性对我们理解宇宙很重要。至今为止,广义相对论在弱场中的检验(如太阳系实验和双星脉冲星观测)取得了很大的成功,但广义相对论在强场情况下是否正确仍然未有定论。在强场下检验广义相对论是非常具有挑战性的,因为在大多数情况下引力作用是比较弱的作用,而实验室测试只能在一些非常有限的情况下进行。
在过去的5年里,这一领域发生了重大变化并取得了一定进展。目前,科学家可以通过对黑洞和中子星的观测,利用X射线、引力波干涉仪和毫米甚长基线干涉测量设备,甚至尝试对黑洞直接成像,在强场和动力学状态下检验广义相对论。激光干涉引力波天文台(LIGO)研究组在2015年首次直接探测到引力波信号,这是对于广义相对论的直接验证,Rainer Weiss、Barry C. Barish、Kip S. Thorne因该工作获2017年诺贝尔物理学奖;2019年事件视界望远镜(EHT)合作组公布了对M87星系中心的超大质量黑洞的直接成像图片,成像图片与利用广义相对论的模拟结果高度相似。
黑洞是宇宙中最极端的物体之一,任何进入黑洞的东西都无法逃逸。黑洞是极致密的天体:与太阳质量相同的黑洞半径只有几公里,与地球质量相同的黑洞半径只有9毫米。黑洞系统的强引力场环境,使得科学家可以通过对其周围时空的研究验证广义相对论。
02 研究介绍
本项目首次将一种新的度规应用在恒星质量黑洞附近的时空,通过研究黑洞的X射线反射光谱验证了广义相对论。
黑洞X射线双星系统由黑洞和一颗伴星组成,物质从伴星转移至黑洞的过程形成了黑洞周围的吸积盘。黑洞周围的辐射区域可以以吸积盘-冕理想模型描述(见图1),在黑洞周围的吸积盘通过黑体辐射发出的高能光子经过冕区(黑洞周围的热等离子体)发生逆康普顿散射、并返回到吸积盘上反射,产生了图中以不同颜色标出的三种成分,其中反射光谱的特征是铁的Kα发射线和康普顿峰,这些谱线由于相对论效应(由于吸积盘中气体的运动,X射线光子从吸积盘到探测器的传播,多普勒增强)而变宽和倾斜,我们可以对这些谱线研究进而验证广义相对论。
我们研究了NuSTAR高能X射线天文望远镜观测到的恒星质量黑洞EXO 1846-031黑洞周围吸积盘的反射光谱。2017年,Cosimo Bambi提出可以使用比Kerr解使用的Kerr度规更一般的新度规检验广义相对论。2016年,Konoplya、Rezzolla、Zhidenko提出了一种新的非Kerr度规(下称KRZ度规),这种度规利用参数化的方法,引入了六个形变参数,用以描述相对于Kerr度规的偏离,若这六个形变参数在拟合中回复至0,我们则认为在一定条件下验证了广义相对论,这种度规相对于其他非Kerr度规存在多个优点,使用该度规可以更加精确地检验广义相对论。我们将KRZ度规引入理论模型来检验广义相对论和存在非广义相对论偏差时的反射光谱。通过我们的理论预测与EXO 1846-031的NuSTAR数据的比较,我们对广义相对论进行了验证,并得到了KRZ度规的形变参数的拟合结果及其置信区间。

图1 黑洞周围时空的吸积盘-冕模型
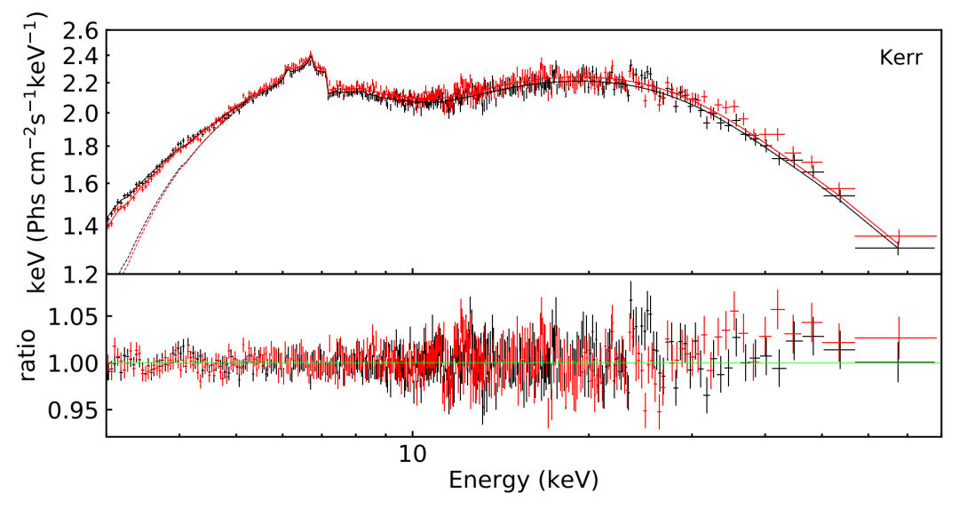
我们通过选用模型组合对黑洞X射线光谱进行分析拟合,得到了Kerr模型和non-Kerr模型下的六组光谱拟合结果(Kerr情况如图2),以及自旋参数与五组形变参数的拟合图及相应的置信区间(图3)。
图2 NuSTAR卫星观测黑洞EXO 1846-031的2019年爆发光谱(使用Kerr模型拟合)
图3 自旋参数与五组形变参数的拟合图及相应的置信区间
03 结论
在拟合结果中,五组形变参数与广义相对论的预言结果符合得很好,但有一组形变参数没有得到很好的约束。本研究为系列工作的一部分,在本课题组的其他工作中,我们将使用超大质量黑洞的X射线反射光谱和恒星质量黑洞的引力波数据,利用KRZ度规对广义相对论进行进一步的检验。
本课题在黑洞提供的强场环境下对其X射线光谱进行研究,为检验和理解广义相对论在强场下的表现提供了实验依据。本课题发展了KRZ度规方法,为黑洞的X射线反射光谱分析提供了一种有效的研究方法,对进一步深入研究黑洞反射光谱及发现新现象有重要的意义;对拟合结果与Kerr解情况的分析讨论有助于进一步完善X射线光谱分析模型。
此外,本文的研究方法和结论对将来大型 X 射线望远镜,如中国新一代空间科学卫星——增强型X射线时变和偏振探测卫星(eXTP)的科学目标具有一定的参考价值。
论文链接:https://journals.aps.org/prd/abstract/10.1103/PhysRevD.104.084035
本文标题下的星轨图由FDUROP䇹政学者、2018级物理学系本科生喻知博制作。2022年1月3日晚,象限仪座流星雨极大,他在崇明东滩拍摄了上百幅星空照片,后期合成了这张星轨,记录下时间的流转。图片上的文字由FDUROP望道学者、2017级中国语言文学系本科生陈美汐撰写。